Tree Data Structure
A tree is a widely used non-linear data structure that mimics a hierarchical tree like model, with a root and branches of connected nodes.
Unlike arrays, linked lists, stacks, or queues (which are linear), trees allow data to be organised in a parent-child relationship, making them ideal for representing hierarchies, file systems, and more.

Why Are Trees Important?
Trees are incredibly versatile:
- Efficient searching (especially with BSTs)
- Hierarchical data representation (filesystems, org charts)
- Fast insertions/deletions (compared to arrays)
- Supporting algorithms (parsing expressions, AI decision trees)
Properties of Trees
- There is one and only one path between every pair of vertices in a tree.
- A tree with n vertices has n-1 edges.
- A graph is a tree if and if only if it is minimally connected.
- Any connected graph with n vertices and n-1 edges is a tree.
Tree Terminologies
Node
- A node is an entity that contains a key or value and pointers to its child nodes.
- The last nodes of each path are called leaf nodes or external nodes that do not contain a link/pointer to child nodes.
- The node having at least a child node is called an internal node.


Root
- The first node from where the tree originates is called as a root node.
- In any tree, there must be only one root node.
- We can never have multiple root nodes in a tree data structure.

Edge
- The connecting link between any two nodes is called as an edge.
- In a tree with n number of nodes, there are exactly (n-1) number of edges.

Parent
- The node which has a branch from it to any other node is called as a parent node.
- In other words, the node which has one or more children is called as a parent node.
- In a tree, a parent node can have any number of child nodes.

Child
- The node which is a descendant of some node is called as a child node.
- All the nodes except root node are child nodes.

Siblings
- Nodes which belong to the same parent are called as siblings.
- In other words, nodes with the same parent are sibling nodes.

Degree
- Degree of a node is the total number of children of that node.
- Degree of a tree is the highest degree of a node among all the nodes in the tree.

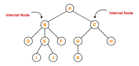
Internal Node
- The node which has at least one child is called as an internal node.
- Internal nodes are also called as non-terminal nodes.
- Every non-leaf node is an internal node.

Leaf Node
- The node which does not have any child is called as a leaf node.
- Leaf nodes are also called as external nodes or terminal nodes.

Level
- In a tree, each step from top to bottom is called as level of a tree.
- The level count starts with 0 and increments by 1 at each level or step.

Height
- Total number of edges that lies on the longest path from any leaf node to a particular node is called as height of that node.
- Height of a tree is the height of root node.
- Height of all leaf nodes = 0

Depth
- Total number of edges from root node to a particular node is called as depth of that node.
- Depth of a tree is the total number of edges from root node to a leaf node in the longest path.
- Depth of the root node = 0
- The terms “level” and “depth” are used interchangeably.
Sub Tree
- In a tree, each child from a node forms a sub-tree recursively.
- Every child node forms a sub-tree on its parent node.

Forest
A forest is a set of disjoint trees. In the given tree we remove its node then it becomes forest.

Common Operations on Trees
- Insertion (add a node)
- Deletion (remove a node)
- Traversal (visit nodes in specific order)
- Pre-order
- In-order
- Post-order
- Level-order
- Searching (find a node with a specific value)
- Finding height/depth
- Balancing (for performance)
Types of Tree
- General Tree
- Binary Tree: Each node has at most two children (left and right).
- Binary Search Tree (BST): A binary tree where the left subtree contains smaller values and the right subtree contains larger values.
- Adelson-Velsky and Landis (AVL) Tree
- Red-Black Tree
- N-ary Tree: Each node can have up to N children.