Backtracking Algorithm
Introduction
In back tracking technique, we will solve problems in an efficient way, when compared to other methods like greedy method and dynamic programming. The solution is based on finding one or more vectors that maximize, minimize, or satisfy a criterion function P(x1, …. xn). Form a solution at any point seems not promising, ignore it. All possible solutions require a set of constraints divided into two categories:
- Explicit Constraint: Explicit constraints are rules that restrict each xi to take on values only from a given set. Ex: xn= 0 or 1.
- Implicit Constraint: Implicit Constraints are rules that determine which of the tuples in the solutions space of I satisfy the criterion function. Implicit constraints for this problem are that no two queens can be on the same diagonal. Back tracking is a modified depth first search tree. Backtracking is a procedure whereby, after determining that a node can lead to nothing but dead end, we go back (backtrack) to the nodes parent and proceed with the search on the next child. State space tree exists implicitly in the algorithm because it is not actually constructed.
Applications of Backtracking
- N Queens Problem
- Sum of subsets problem
- Graph coloring
- Hamiltonian cycles.
Terminology:
- Solution Space: All tuples that satisfy the explicit constraints define a possible solution space for a particular instance T of the problem.

2. Problem State: A problem state is the state that is defined by all the nodes within the tree organization.![]()
3. Solution States: These are the problem states S for which the path form the root to S defines a tuple in the solution space. Here, square nodes ( ) indicate solution. For the above solution space, there exists 3 solution states. These solution states represented in the form of tuples i.e., (ghk-,B,D),(A,C,F) and (A,C,G) are the solution states.

4. State Space Tree: : Is the set of paths from root node to other nodes. State space tree is the tree organization of the solution of the solution space. Example: State space tree of a 4-queen problem.

In the above figure nodes are numbered as in depth first search. Initially, (x1=1 or 2 or 3 or 4, it means we can place first queen in either first, second, third or fourth column. If x1=1 then x2 can be placed in either 2nd, 3rd or 4th columns. If (x2=2) then, x2 can be placed either in 3rd, or 4th column. If x3=3, then x4=4. So nodes 1-2-3-4-5 is one solution in solution space. It may not be a feasible solution.
5. Answer States: : These solution states S, for which the path from the root node to S defines a tuple that is a member of the set of solutions (i.e., it satisfies the implicit constraints) of the problem.

Here are C, D are answer states. (A, C) and (A, C, D) are solution states.
6. Live Node: A node which has been generated but whose children have not yet been generated is live node.

This node 1 is called as live node since the children of node 1 have not been generated.

In this, node 1 is not a live node but node 2, node 3 are live nodes.

Here, 4, 5, 3 are live nodes because the children of these nodes not yet been generated.
7. E-Node: The live nodes whose children are currently being generated is called the E-node (node being expanded).

This node 1 is live node and its children are currently being generated (expanded).

Here, node 2 is E-node.
8. Dead Node: It is generated node, that is either not to be expanded further or one for which all of its children has been generated.

Nodes 1, 2, 3, are dead nodes. Since node 1’s children generated and node 2, 3 are not expanded. Assumed that node 2 generated one more node, So, 1, 3, 4 are dead nodes.

General Method:
- The basic idea of backtracking is to build up a vector, one component at a time and to test whether the vector being formed has any chance of success.
- The major advantage of this algorithm is that we can realize the fact that the partial vector generated does not lead to an optimal solution. In such a situation that vector can be ignored.
- Backtracking algorithm determines the solution by systematically searching the solution space (i.,e set of all feasible solutions) for the given problem.
- Backtracking is a depth first search with some bounding function. All solutions using backtracking are required to satisfy a complex set of constraints. The constraints may be explicit or implicit.

Applications of Backtracking
Backtracking is an algorithm design technique that can effectively solve the larger instances of combinational problems. It follows a systematic approach for obtaining solution to a problem. The applications of backtracking include,
1. N-Queens Problem
This is generalization problem. If we take n=8 then the problem is called as 8 queens problem. If we take n=4then the problem is called 4 queens problem. A classic combinational problem is to place n queens on a n*n chess board so that no two attack, i.,e no two queens are on the same row, column or diagonal. Algorithm of n-queens problem is given below:


4-Queens problem
Consider a 4*4 chessboard. Let there are 4 queens. The objective is place there 4 queens on 4*4 chessboard in such a way that no two queens should be placed in the same row, same column or diagonal position.
The explicit constraints are 4 queens are to be placed on 4*4 chessboards in 44 ways. The implicit constraints are no two queens are in the same row column or diagonal. Let{x1, x2, x3, x4} be the solution vector where x1 column on which the queen i is placed. First queen is placed in first row and first column.

The second queen should not be in first row and second column. It should be placed in second row and in second, third or fourth column. It we place in second column, both will be in same diagonal, so place it in third column.

We are unable to place queen 3 in third row, so go back to queen 2 and place it somewhere else.

Now the fourth queen should be placed in 4th row and 3rd column but there will be a diagonal attack from queen 3. So go back, remove queen 3 and place it in the next column. But it is not possible, so move back to queen 2 and remove it to next column but it is not possible. So go back to queen 1 and move it to next column.

Hence the solution of to 4-queens’s problem is x1=2, x2=4, x3=1, x4=3, i.,e first queen is placed in 2nd column, second queen is placed in 4th column and third queen is placed in first column and fourth queen is placed in third column.

8-queens problem
A classic combinatorial problem is to place 8 queens on a 8*8 chess board so that no two attack, i.,e no two queens are to the same row, column or diagonal.
Now, we will solve 8 queens problem by using similar procedure adapted for 4 queens problem. The algorithm of 8 queens problem can be obtained by placing n=8, in N queens algorithm. We observe that, for every element on the same diagonal which runs from the upper left to the lower right, each element has the same “row-column” value. Also every element on the same diagonal which goes from upper right to lower left has the same “row+column” value.
If two queens are placed at positions (i,j) and (k,l). They are on the same diagonal only if
i-j=k-l ……………….(1) or
i+j=k+l ……………….(2).
From (1) and (2) implies
j-l=i-k and
j-l=k-i
Two queens lie on the same diagonal iff |j-l|=|i-k| But how can we determine whether more than one queen is lying on the same diagonal? To answer this question, a technique is deviced. Assume that the chess board is divided into rows.
And columns say A: 
This can be diagrammatically represented as follows

Now, assume that, we had placed a queen at position (3,2).
Now, its diagonal cells includes (2,1)(4,3)(5,4)….(if we traverse from upper left to lower right). If we subtract values in these cells say 2-1=1,4-3=1,5-4=1, we get same values, also if we traverse from upper right to lower left say (2,3) (1,4)(4,1)….we get common values when we add the bits of these cells i.,e 2+3=5, 1+4=5, 4+1=5. Hence, we say that, on traversing from upper left to lower right, if (m,n)(a,b) are the diagonal elements(of a cell) than m-n=a-b or on traversing from upper right to lower left if(m,n)(a,b) are the diagonal elements(of a cell) then m+n=a+b.
The solution of 8 queens problem can be obtained similar to the solution of 4 queens. problem.X1=3, X2=6, X3=2, X4=7, X5=1, X6=4, X7=8, X8=5,
The solution can be shown as

Time complexity: The solution space tree of 8-queens problem contains 88 tuples. After imposing implicit constraints, the size of solution space is reduced to 8! tuples. The state space tree for the above solution is given

2. Sum of Subsets Problem
Given a set of n objects with weights (w1,w2,…..w3) and a positive integer M. We have to find a subset S’ of the given set S, such that
- S’
S - Sum of the elements of subset S’ is equal to M.
For example, if a given set S=(1,2,3,4) and M=5, then there exists sets S’(3,2) and S’=(1,4) whose sum is equal to M. It can also be noted that some instance of the problem does not have any solution. For example, if a given set S=(1,3,5) and M=7, then no subset occurs for which the sum is equal to M=7.
The sum of subsets problem can be solved by using the back tracking approach. In this implicit tree is created, which is a binary tree. The root of the tree is selected in such a way that it represents that no decision is yet taken on any input. We assume that, the elements of the given set are arranged increasing order.
The left child of the root node indicates that, we have to include the first element and right child of the root node indicates that, we have to exclude the first element and so on for other nodes. Each node stores the sum of the partial solution element. If at any stage, the number equals to ‘M’ then the search is successful. At this time search will terminate or continues if all the possible solutions need to be obtain. The dead end in the tree occurs only when either of the two inequalities exists.
The sum of S’ is too large.
The sum of S’ is too small.
Thus we take back one step and continue the search

Example:
Let m=31 and w= {7, 11, 13, 24} draw a portions of state space tree. Solution: Initially we will pass some subset (0, 1, 55). The sum of all the weights from w is 55, i.e., 7+11+13+24=55. Hence the portion of state –space tree can be
Here Solution A={1, 1, 1, 0} i.e., subset {7, 11, 13}
And Solution B={1, 0, 0,1} i.e. subset {7, 24}
Satisfy given condition=31;
Example: Consider a set S={5, 10, 12, 13, 15, 18} and N=30.
| Subset {Empty} | Sum=0 | Initially subset is 0 |
| 5 | 5 | |
| 5, 10 | 15 | |
| 5, 10, 12 | 27 | |
| 5, 10, 12, 13 | 40 | Sum exceeds N=30,Hence Backtrack |
| 5, 10, 12, 15 | Not Feasible | |
| 5, 10, 12, 18 | Not feasible | |
| 5, 10 | List ends. Backrack | |
| 5, 10, 13 | 28 | |
| 5, 10, 13, 15 | 33 | Not feasible. Backtrack |
| 5, 10 | 15 | |
| 5, 10, 15 | 30 | Solution obtained |
We can represent various solutions to sum of subset by a state space tree as,

3. Graph Coloring
Let G be a graph and m be a given positive integer. The graph coloring problem is to find if the nodes of G can be colored in such a way that no two adjacent nodes have the same color, yet only m colors are used. This is termed the m-colorability decision problem. The m-colorability optimization problem asks for the smallest integer m for which the graph G can be colored. This integer is referred to as the chromatic number of the graph.




To color the above graph chromatic number is 4. And the order of coloring is X1=1, X2=2, X3=3, X4=4, X5=1
Time Complexity: At each internal node O(mn) time is spent by Nextcolor to determine the children corresponding to legal coloring. Hen the total time is bounded by,

Hamiltonian Cycle
Let G = (V', E) be a connected graph with n vertices. A Hamiltonian cycle is a round-trip path along n edges of G that visits every vertex once and ret urns to its starting position. In other words if a Hamiltonian cycle begins at some vertex Vi E G and the vertices of G are visited in the order '01,112,"" Vn+l, then the edges (Vi, Vi+1) are in E, 1 <=i<=n, and the 'Vi are distinct except for V1 and Vn+l, which are equal.
Given a graph G=(V,E)we have to find the Hamiltonian circuit using backtracking approach, we start out search from any arbitrary vertex, say x. This vertex ‘x’ becomes the root of our implicit tree. The next adjacent vertex is selected on the basis of alphabetical / or numerical order. If at any stage an arbitrary vertex, say ‘y’ makes a cycle with any vertex other than vertex ‘o’ then we say that dead end is reached. In this case we backtrack one step and again the search begins by selecting another vertex. It should be noted that, after backtracking the element from the partial solution must be removed. The search using backtracking is successful if a Hamiltonian cycle is obtained. Example: Consider a graph G=(V,E), we have to find the Hamiltonian circuit using backtracking method.

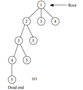
Solution: Initially we start out search with vertex ‘1’ the vertex ‘1’ becomes the root of our implicit tree.

Next we choose vertex ‘2’ adjacent to ‘1’, as it comes first in numerical order (2, 3, 4).

Next vertex ‘3’ is selected which is adjacent to ‘2’ and which comes first in numerical order (3,5).

Next we select vertex ‘4’ adjacent to ‘3’ which comes first in numerical order (4, 5).

Next vertex ‘5’ is selected. If we choose vertex ‘1’ then we do not get the Hamiltonian cycle.

The vertex adjacent to 5 is 2, 3, 4 but they are already visited. Thus, we get the dead end. So, we backtrack one step and remove the vertex ‘5’ from our partial solution. The vertex adjacent to ‘4’ are 5,3,1 from which vertex ‘5’ has already been checked and we are left with vertex ‘1’ but by choosing vertex ‘1’ we do not get the Hamiltonian cycle. So, we again backtrack one step.
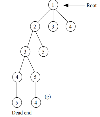
Hence we select the vertex ‘5’ adjacent to ‘3’.

The vertex adjacent to ‘5’ are (2,3,4) so vertex 4 is selected.

The vertex adjacent to ‘4’ are (1, 3, 5) so vertex ‘1’ is selected. Hence we get the Hamiltonian cycle as all the vertex other than the start vertex ‘1’ is visited only once, 1- 2- 3- 5- 4- 1.

The final implicit tree for the Hamiltonian circuit is shown below. The number above each node indicates the order in which these nodes are visited.


